Overview Of Laser Modes In Optical Fiber

Under "natural" circumstances, light travels in a straight line.
Thanks to optical fiber, we are able to guide it into other trajectories.
But, just like a guitar string can only vibrate in certain shapes because its ends are fixed, only certain specific energy distributions can propagate within the boundaries imposed by an optical fiber. These energy distributions are what we call the allowed light modes.
Optical fibers can be tweaked to accept more or less of these modes. Allowing more modes generally makes the fiber easier to work with, at the cost of output beam quality.
SINGLE-MODE FIBERS
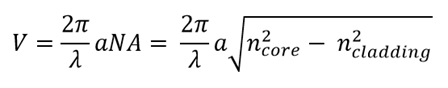
Fibers with a v-number below approximately 2.405 can support only the fundamental mode. For step-index fibers, the v-number is given by:

where is the wavelength, is the radius of the fiber core, and NA is the numerical aperture (quantifies the max angle of acceptance of input light).
This means that for a given wavelength, single-mode fiber cores will typically have a small radius and numerical aperture.
Gentec-EO's high-accuracy laser beam measurement instruments help engineers, scientists and technicians in all sorts of laser applications from the factory to the hospital, laboratory and research center. Learn about our solutions for these measurement types:
Advantages (Great Beam Quality, Best For Long Distances)
The beam quality of the output is excellent in the case of single-mode fibers. Also, the transverse beam profile of light in a given single-mode fibers is always the same, no matter the launch conditions.
Because there is only one mode, there can be no intermodal dispersion. This means that even over long distances, the signal of a single-mode fiber will remain clear.
Disadvantages (Difficult To Use)
It is not easy to launch light efficiently into a single-mode fiber.
For optimal transmission, the incident laser light must have a high beam quality (M2 near 1) and be appropriately mode-matched with the fiber.
Also, the alignment must be impeccable, which is not easy, given the aforementioned small diameter and small numerical aperture of single-mode fibers. Another effect of their small numerical aperture is that single-mode fibers cannot be bent as much before losing the signal.
Finally, getting high-power sources of sufficient beam quality can be difficult.
MULTI-MODE FIBERS
Multi-mode fiber cores have an increased refractive index, diameter, and numerical aperture.
They are often used to carry high-power laser light, which can be measured with the Gentec-EO QBH product series, over short distances, such as welding, cutting, and other material processing installations.
Advantages (Easier And Cheaper)
Because they have a bigger core, and the max input angle is larger, it is easier to launch light into a multi-mode optical fiber.
Beams with more modes and lower beam quality can travel within multi-mode fibers. This opens the door to using more light sources, including sources of higher-power light, like diode stacks.
The transceivers used for multi-mode fibers are much cheaper. This brings down the overall cost of a multi-mode setup.
Disadvantages (Signal Distortion Over Long Distances, Poor Beam Quality)
An important disadvantage of multi-mode fibers is that the different modes have different velocities. Since the different modes making up a signal don't travel at the same speed, the signal gets distorted as more and more distance is traveled.
This modal dispersion effect can be mitigated to some extent using graded-index fibers.